一年一度的高考又来了,十二年苦读一朝奋进,考生们都在摩拳擦掌了吧。云阅卷在中高考已经十分普及,但每年在阅卷系统前失分的考生不在少数,小易老师整理了一些在在阅卷系统内学生常出现的失分点,各位老师在考前,别忘记多叮嘱学生,始终分数是靠1分1分挣的。
中高考的选择题,基本上是计算机自动识别,很少人工干预,机器是比较死板的,非对即错,符合它规则的即得分,不符合的即判定为错。我们经常看到一些学生在后台的填涂,有填涂得比较认真的,有填涂的比较随意的,填得认真不一定能得分,填得正确、填得规范才可以得分,我们一起来看看各种情况。
考生A是填得太认真,导致超区填涂,如下图1,担心机器识别不了,加大填写范围,这会导致本题填涂影响到下一题,原有单选变成CD多选导致丢分。

A考生超区填涂
考生B填涂随意,导致系统无法判断是填涂还是已擦除选项,导致填涂未被系统识别,判定为该题考生未作答。

B考生填涂随意,被判定未作答
考生C丢分是比较大意的,开始填涂错误,后用橡皮擦擦拭改选其他选项,但原有填涂擦拭不干净,让系统认为该题填涂2个选项,判断该题错误丢分。

C考生,B选项未擦除干净
正确的填涂,应该是按照试卷上的要求进行,填涂不多不少,只需要刚刚好,入下图示范;填涂错误后,记得擦拭干净,这样就不会出现意外丢分情况。

标准填涂规范
对比客观题,主观题作答的要求就比较简单,从系统的角度来说只有2点,第1点即老师们经常跟学生强调的,字迹工整,第2点就是需要和学生强调千万不能超区作答。
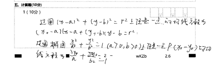
下图是考生A作答的计算题,我们看到整体作答内容已经超出了作答框。

这样的超区作答,阅卷系统对主观题切割后,将会呈现成这样的画面,如下图的画面,考生的答案被系统切割掉超区的部分,阅卷老师只能看到一半,这样的情况阅卷老师也无能为力。

切割后的主观题只显示部分答案
小易老师给到大家的总结就是这些啦,高考将要到来,在关键节点,别让复习的成效败在这些细节中,小心谨慎、认真细致,祝老师和同学在这一场战役中旗开得胜!
扫描微信咨询
Email:market@y100edu.com
合作咨询:020-3860 1959 转331 陈小姐
售后服务:020-3860 1959 转306 陆小姐
Copyright Reserved 1998-2015 Copyright ©广东长荣科技有限公司所有备案号:
粤ICP备12056373号-3
咨询热线:020-38601959-306 公司地址:广州市天河区车陂路黄洲工业区五栋西4楼