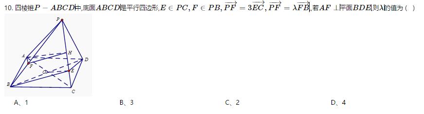
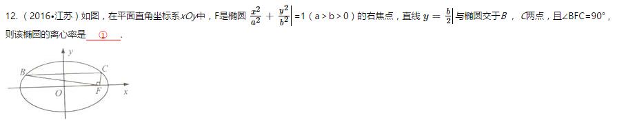
历年常考题型,填空题也会经常出现,请大家牢记解题步骤!












安装注册

功能相关

阅卷相关

阅卷教程

版本更新

联系反馈
易100客户端目前有Android版和Windows版,除了在官方网站(www.y100edu.com)可以下载外,还可以在(Android版)应用宝、360、百度、豌豆荚,(Windows版)百度、360、天空、华军、ZOL下载。
易100客户端安装非常简单,按照提示一键安装即可。
易100目前仅支持手机号码验证注册,若注册时一分钟收不到验证码,请联系客服。
在登录界面找到“忘记密码”按钮,选择手机号码方式验证,然后就可以重置密码。
您好,易100暂时没有iPhone版本,iPhone版本正在开发中,敬请期待!
易100 Windows端安装队电脑没有配置要求,任何电脑的WIN系统都是支持;而Android版则要求Android2.3以上系统。
一键更新:设置——关于我们——检查更新,有新版本点击一键更新即可;也可以卸载原来版本,下载最新版本安装即可。
班级管理、智能阅卷、统计分析、题库、错题本、在线作业、查询成绩等功能,其他功能和需求正在开发中,敬请期待!
1、快速便捷的全自动阅卷,极大地节省了教师阅卷的时间和精力;
2、智能分数统计和精准考试分析,实力充当教师阅卷小助手;
3、系统不同身份报表信息差异化,实现了用户各取所需;
4、辅助于题库和错题本,方便老师和学生的使用;
5、易100整合教师、学生和家长三方互动,打造考试互动圈。
微信昵称:易100家校互动;微信号:y100edu
主要有注册账号,关注账号,绑定账号,查询通知,查询作业,查询成绩,App下载,在线活动,联系我们等功能。
添加关注有两种方式:
1、设置——好友——搜索(用户名或者邮箱),然后添加对方,等待对方确认。
2、扫描二维码,扫描对方二维码即可成功关注对方。(仅限于手机客户端)
目前仅支持web上传试题,找到要上传试题的考试,在“阅卷信息”的【标准答案】后有一个“上传题目”按钮,点击该按钮,按照上传考试题目的规则即可成功上传。
易100错题本有分类、标签、搜索、收藏、重做、删除等功能,学生针对每次考试错误的题目收藏、分类和复习,已经掌握的可以删除。
暂无开放,下一个版本将开放该功能。
家长查询学生成绩:首先要关注学生,即添加学生为好友即可;然后进入“考试信息”界面,点击右上角的搜索按钮,通过搜索或者选择即可查询。
您好,激活阅卷需要有阅卷机系列号+配对码,也就是说您要拿到我们的S1300型号的阅卷机,然后查看并输入阅卷机系列号+配对码,便可以获得老师身份和阅卷权限啦。
设置——班管理——创建班级——输入班级名称即可;另外还可以通过扫一扫分享其他老师创建好的班级(电脑网页版则通过班级共享号关注班级即可)。和精力;
设置——班管理——选中班级(手机客户端还需要选中”班成员”)——添加学生;(电脑网页版支持批量导入,按照模板格式批量导入)。
加入班级有两种方式:
1、老师添加:设置——班管理——班信息——班成员——修改——添加用户名
2、学生添加:设置——班管理——右上角+——加入班级(班号+学号+姓名)
首先要打开阅卷机,保持阅卷机运行状态,然后打开手机蓝牙功能,搜索阅卷机蓝牙设备;最后是蓝牙配对,PIN即是阅卷机后四位数;配对成功后,蓝牙就连接成功,就可以开始阅卷之旅啦!
您好,目前易100配套阅卷机s1300仅支持手动一张一张递卡至阅卷机进卡口。
易100应用非常广泛,不仅支持K12考试阅卷,还适应于培训机构、事业单位、公务员及各类证书标准化考试的评测。
一个班按照50人计算,老师5分钟填涂标准答案答题卡,2分钟创建考试,3分钟读完考生答题卡;10分钟搞定。
【修复】统计功能;
【修复】Y100阅卷助手;
【修复】阅卷读卡统计方法;
【优化】题型设置关于主观题和客观题的拆分;
【优化】考试报表;
【新增】共享老师;
【新增】专题分析;
【新增】新建考试缺省;
【修复】新添加班级后,原来阅卷的班级数据全无的bug;
【修复】考试未统计,需要统计两次的问题;
【新增】主观题大小题分数批量录入;
【修复】考试题号与学生答案对应错误;
【修复】上传学生答案,由上传全部,改为只上传题型有的题号对应的答案;
【修复】考试信息,查看更多时失败;
【修复】考生客观题答案,分数与题号对应错误;
【新增】阅卷切换到分析页面时,增加统计功能;
【新增】智能阅卷,增加通过班级筛选考生的功能;
【优化】题目为空时,增加红色字体的提示;
【优化】主观题录入,修改原型,增加光标定位;
不能超过五不能超过五不能超过五不能超过五不能超过五不能超过五不能超过五不能超过五不能超过五不能超过五不能超过五不能超过五不能超过五不能超过五不能超过五不能超过五不能超过五不能超过五不能超过五不能超过五不能超过五不能超过五不能超过五不能超过五不能超过五不能超过五不能超过五不能超过五不能超过五不能超过五不能超过五不能超过五不能超过五不能超过五不能超过五不能超过五不能超过五不能超过五不能超过五不能超过五不能超过五不能超过五不能超过五不能超过五不能超过五不能超过五不能超过五不能超过五不能超过五不能超过五不能超过五不能超过五不能超过五不能超过五